como você já sabe existem várias técnicas resolução de limites como por exemplo utilizado diferença de quadrados diferença de cubos faturação de equações segundo grau e assim por diante aqui nós temos uma lista com sete limites e sete técnicas diferentes que nós podemos utilizar na resolução dos limites à esquerda para cada um dos limites à esquerda nós vamos utilizar uma técnica diferente então nós vamos fazer um exemplo de cada tipo antes de começar não se esqueça de curtir esse vídeo e se inscrever aqui no nosso canal temos aqui nosso set limites ea sete possíveis técnicas de
resolução de limites que nós vamos utilizar em cada caso nós temos aqui substituição direta sobre a diferença de cubos multiplicação pelo conjugado faturação por buzz cara ou por som e produto caso encontrar as raízes de uma equação de segundo grau seja mais fácil por ser um produto nós temos também diferença de quadrados colocar o maior expoente de x em evidência e também limites esses potenciais vamos começar claro pelo mais fácil que é substituição direta se você tentar substituir qualquer um desses valores de xis na expressão que você tem por exemplo no caso número um você
vai encontrar 0 sobre zero ou seja uma em determinação você vai encontrar em determinação em todos eles exceto em um desses limites que é o limite número 5 então limite número 5 nós podemos resolver por substituição direta eo que nós vamos fazer agora nós temos aqui o limite praxe tem vindo a 2 e 4 x mais um sobre x -13 como o próprio nome diz basta que a gente substitua o valor de x por dois nós temos aqui quatro vezes mais um sobre 2 - 3 nós temos nove no numerador e menos um denominador portanto
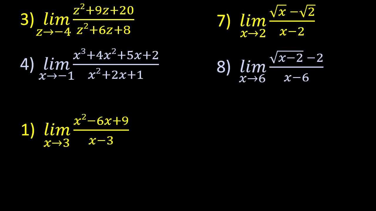
nós temos menos nove como resposta desse limite o número 5 está pronto vamos passar para a faturação por basca ou subprodutos para utilizar essa técnica claro nós precisamos de pollino nomes de segundo grau que apareça o numerador ou no denominador ou até os dois nós encontramos um pornô me aqui de segundo grau aqui nesse numerador x ao quadrado - 9 x mas e portanto nós vamos utilizar essa técnica para resolver o limite número um de nós temos um limite para a china tem menor 5 x quadrado - 9 x mais 20 sobre x mas sim
vamos nos concentrar aqui nesse termo x ao quadrado - 9 x + 20 ele nada mais é do que o termo à x ao quadrado mais bx mas ser típico de equações segundo grau onde nos encontramos as raízes dado que a soma é menos b sobre a que o produto é certo sobre a no caso o - b é igual a menos - 9 é igual a 9 eo a ele vale o portanto nós queremos dos valores cuja soma seja 9 e cujo produto seja 20 sobre um que é igual a 20 esses dois valores
são 4 e 5 nós reescrevemos x ao quadrado - 9 x + 20 como arches - x 1 x - x 2 no nosso caso a vale 1 que é o cara tá do lado do x1 quadrado e as raízes são 5 x menos 5 e 4 positivo portanto x - 4 x 1 vale 5 x 2 vale 4 nós podemos reescrever esse limite como limite praxes atendendo a cinco de x menos cinco vezes x menos quatro tudo isso sobre x menos cinco olha lá nós podemos cortar aqui x menos 5 x menos 5 e
substituir os cinco do limite aqui no lugar do x então nós ficamos com 5 -4 portanto o limite ele vale um terceiro caso estamos quase na metade diferença de quadrados nós precisamos encontrar em algum desses limites aqui algo parecido com ao quadrado - b ao quadrado por exemplo x ao quadrado menos 16 ou 9 x quadrado menos 25 alguma coisa parecida com isso nesse formato e nós encontramos aqui no item 2 x ao quadrado menos um então vamos resolver agora o item 2 utilizando diferença de quadrados nós temos aqui o limite praxes tendendo a menos
um destes ao quadrado - um sobre x mais como funciona a diferença de quadrados quando nós temos um termo ao quadrado menos de um quadrado nós podemos fator a lo como a menos bem vezes a mais b portanto olhando esse tema que o nosso ar na verdade é o x que está o quadrado eo bebê é um dado que um quadrado é a mesma coisa que um transportamos reescrever esse limite como limite para a x atendendo ao menos um de x + 1 vezes x - um tudo isso sobre x mais um e aí nós
cortamos x mais um com x + 1 e esse xis tem nem menos um já pode ser inserido aquele lugar do x1 resultado nosso limite fica - 1 - 1 que é igual a menos dois gols para quarta técnica agora some diferença de cubos como o próprio nome diz nós devemos ter algo parecido como álcool - b ao cubo ou ao cubo mais de ao cubo e isso aparece exatamente aqui portanto nós vamos resolver o limite número 7 utilizando essa técnica vamos lá como funciona a diferença e assuma de cubos quando nós temos ao cubo
mais bial cuba nós podemos trocar esse termo por a mais b vezes ao quadrado - habermas de quadrado quando nós temos a diferença de cubos isso pode virar a menos b vezes ao quadrado mais habermas de quadrado não são as atuações mais fáceis serem memorizadas mas estão aí nós vamos trocar agora o x ao cubo mais oito por x + 2 vezes x ao quadrado - 2 x + 4 isso porque nesse caso o a ele vale x a gente tem aqui o ao cubo e o bebê e vale 2 nós temos aqui o 2
ao cubo e numerador fica igual no caso nós temos aqui em cima x + 2 ela só nós podemos cortar x mais dois com x + 2 restando um numerador e substituir todo x que aparece aqui embaixo por menos dois então nós teremos um sobre -2 ao quadrado que dá quatro mas - 23 - 24 também mais aquele 4 portanto a resposta final desse limite é um sobre 12 mais uma técnica multiplicação pelo conjugado nós utilizamos multiplicação pelo conjugado quando nós temos algum termo que seja a raiz - alguma coisa ou raiz mais alguma coisa
ou raiz mais raízes ou raiz - raízes bom deu para entender no caso isso aparece exatamente aqui no nosso exemplo número 6 vamos resolver o número 6 por multiplicação pelo conjugado e como é que funciona a modificação pelo conjugado nós vamos multiplicar tanto numerador quanto o denominador para não alterar a expressão original pela mesma raiz x mas há um porém mais um aqui fora raiz e x mais um mais um é olha só o que vai acontecer quando nós fazemos essa distributiva nós vamos encontrar o limite praxes tendendo a zero de raiz de x +
1 ela ao quadrado mas a raiz mais um que a raiz mais um vez um tão aqui vêm raiz de x + 1 - aí x mais um que essa próxima multiplicação aí x mais uma negativa e agora menos um que essa última multiplicação - um aqui do lado tudo isso sob aqui nós só copiamos aí x mais um tudo isso mais um ela só nós podemos cortar essas duas raízes e esse quadrado vai fazer com que essa raiz uma então nós teremos o limite praxes tendendo a zero de x mais um que é esse
termo aqui tudo isso - um sobre x vezes raiz de x + 1 ficou um pouco apertado aqui mais um nós vamos cortar esses dois termos aqui e ficar com limite praxes tendendo a zero de x sobre x por vezes a raiz de x mais um mais última simplificação cortar esses 2 x no numerador e do denominador e substituir o chip por 1 0 já que não existe mais em determinação nós temos um número a dor e no caso raiz de um mais um no denominador portanto um sobre raiz de um mais um é igual
a 1 sobre dois penúltima técnica colocar o maior expoente de x em evidência a gente utiliza essa técnica quando nós temos um limite para a x tem ainda mais ou a menos infinito e dentro do limite nós temos um polinômios sobre o outro e olha só esse cara que ele se encaixa perfeitamente nessa descrição então nós vamos resolvê lo colocando maiores pois de x em evidência tanto no meio à dor quanto no denominador nós temos um limite para a x tem nenhum infinito de 4x ao cubo menos 2 x quadrado mais dois tudo isso sobre
7x ao cubo - x mais um colocando maior expoente de x em evidência tanto no numerador quanto no denominador e aliás o que significa isso o caso maior expoente qx assume é o expoente 3 portanto nós vamos colocar x ao cubo em evidência aqui e x ao cube evidência aqui embaixo também nós vamos dividir todos os fatores porches ao cubo 4x ao cubo menos 2 x quadrado em baixo também todos eles fortes ao cubo 4x ao cubo sobre estes ao cubo é igual a 4 - 2 x quadrado sobre estes ao cubo é igual a
menos 2 sobre xe2 sobis ao cubo é simplesmente 2 sobre x ao cubo em baixo a mesma coisa nós temos sete - um sobre x ao quadrado mais um sobre x ao cubo e agora nós cortamos fiz ao cubo x ao cubo e nós ficamos somente com essa expressão o bug foi útil colocar o x ao clube em evidência cancelá-lo que agora nós avaliamos o limite praxe tem da inffinito todos esses termos aqui vão entender a inffinito xx ao cuba que não denominador o x quadrado eo x all cuba que também como nós temos um
número sobre um número que tende ao infinito todos esses caras bom pra 0 portanto nosso limite ele vira simplesmente 4 sobre sete essa é a resposta desse limite é o último ficou fácil nós utilizamos limites prudenciais no exemplo número 3 se porque nós utilizamos limite prudencial no exemplo o número 3 porque nós sabemos que o limite praxes estendendo ou a mais ou a menos infinito de um mais um sobre x elevada chez ele vale esse é o limite fundamental se você reparar esse limite tem um formato muito parecido nós vamos utilizar substituição para poder encontrar
o valor dele que não será e nós temos um limite para a x tendendo ao infinito de 1 - 2 sobre x tudo isso é levado à x o limite fundamental ele é dado por limite praxes tendendo a mais ou menos infinito de um mais um sobre x tudo isso levado à x ao invés de x vão trocar essa variável aqui por o senhor vai entender porque a gente faz isso nós temos aqui ontem normais ou menos infinito de 1 + 1 sobre o elevador o limite continua valendo e e isso não muda mas vai
nos ajudar a fazer essa substituição nós queremos que menos 2 sobre x seja igual a 1 sobre o portanto nós queremos que menos 2 sobre x seja igual a 1 sobre o isso implica que o x ele deve valer menos 2 ou fazendo a multiplicação dos dois puro e duches por um e também quando x tende a inffinito que é o nosso caso aqui ô ô ô ele tende a menos infinito dado que o é igual a menos x sobre dois passando esse dois aqui pro lado direito da equação portanto um item o sinal invertido
sendo assim nós vamos reescrever o nosso limite como limite de 1 + 1 sobre o dado que menos 2 sobre x é igual a 1 sobre o tudo isso levado a menos dois o já que o x é igual a menos sobre o nosso ele tende a menos o infinito não mais a mais infinito mas isso não é um problema porque o limite prudencial ele vale e independente se é para mais ou para menos eficientes nós podemos reescrever esse limite como limite para o tendo a menos infinito de 1 + 1 sobre o tudo isso
é levado a ueg esse cara inteiro aqui elevado a -2 dado que quando nós temos um expoente em cima do outro nós multiplicamos eles então nós temos aqui - 2o como no passado anterior isso será útil porque nós podemos rescrever novamente esse limite como limite para o tendendo a menos infinito de 1 + 1 sobre o tudo isso levado ao o de agora o limite inteiro e levado ao menos dois existe uma propriedade de limite que diz que o limite de uma função elevada ao expoente é a mesma coisa que esse limite inteiro e levado
a esse expoente olha só nós sabemos aqui que esse limite ele vale e portanto nós temos e elevado ao menos dois como resposta se esse cara aqui vale e nós ainda temos o elevada - dois portanto a resposta desse limite é elevado - 2 ou 1 sobre e ao quadrado que a mesma coisa então aí a sete técnicas que você precisa conhecer uma hora de resolver um limite