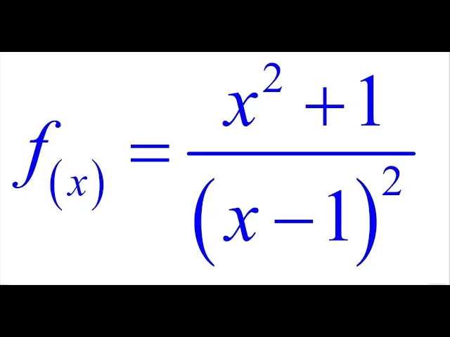
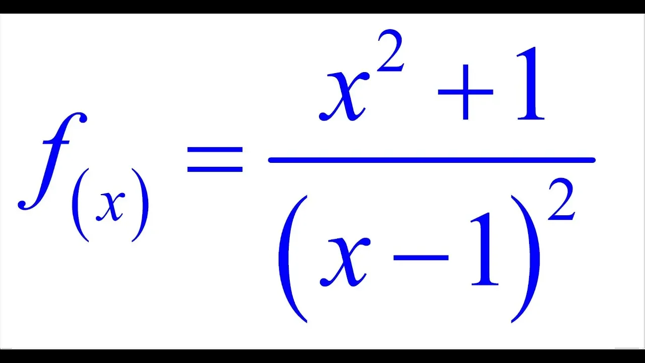
vamos a estudiar la concavidad y puntos de inflexión de esta función vamos a comenzar como siempre calculando el dominio de la función como no existe la división entre cero la base esta potencia tiene que ser diferente a cero así es que si de acá despejamos x uno que está restando pasaría sumando así que x es igual a 11 es el valor que hace el denominador ser así es que en conclusión el dominio de la función son todos los números reales excepto el 1 ahora vamos a calcular la segunda derivada comenzamos lógicamente por la primera como
tenemos un cociente derivada de un cociente sería derivada de el numerador 2x que multiplicar de abajo - derivada desde abajo regla la cadena derivada de la base es 1 luego bajamos el 2 y si restamos 1 queda x solo esto multiplica al de arriba dividido entre esta potencia al cuadrado y luego esto va a quedar igual vamos a dejar igual por el momento aquí menos 2 multiplica a este par de factores y bueno acá 2 x 2 4 luego tenemos dos términos recuerda qué términos son expresiones que están separadas por los signos más o menos
aquí hay un solo signo negativo así es que todo esto es un término y todo este otro término y cada término tiene el factor común 2 y el binomio x menos 1 así que queda 2 x menos uno que va a multiplicar si yo divido esto entre 22 entre 21 x y si a dos el resto 1 no se entiende que aquellos no nos queda x 1 - 12 / 21 / esto entre estos uno y eso multiplica a x cuadrado más 1 entre esta potencia luego aquí puedo dividir potencias de igual base sea 4
le restó 1 queda 3 abajo así que este 2 queda aquí corchete y abajo queda x menos uno al cubo x por x x cuadrado --equipos - 1 - x - x cuadrado menos aquí dentro puedo cancelar esta x ha cobrado positiva con esta que es negativa y queda menos x 1 puedo sacar factor común el signo negativo hace que queda menos 2 se va a multiplicar a x más solo sobre esta potencia esta sería la primera derivada pero recuerda que estamos calculando la segunda y como es un cociente volvemos a aplicar la regla de
derivada de un cociente esto es una constante así que lo vamos a escribir aquí - 2 y va a multiplicar a derivar el numerador que sería 1 y 1 por esta potencia de la potencia menos derivada del denominador derivada de la base que es 1 luego bajamos el 3 que multiplica a equis en 2-1 al cuadrado y esto multiplica a x + uno dividido entre esta potencia al cuadrado luego 3 por 2 6 y fíjate que aquí podemos sacar factor común de este par de términos este es un término y este es otro el factor
común sería x menos 1 al cuadrado así que va a quedar x menos 1 al cuadrado que va a multiplicar sea 3 le quitó 21 x 1 -3 sea doble quito 20 hace que queda x y acá 3 por 26 luego hacia 6 le restamos 2 quedan 4 en el denominador y dentro de los corchetes cancelamos paréntesis que da x1 - 3x menos 3 luego - 3x más x menos 2x - 3 - 1 -4 y si aplicamos la distributiva menos por más dos por 244 x menos por menos más 4 por 28 sobre esta
potencia y esta sería entonces la segunda derivada de la función ahora vamos a estudiar a buscar las raíces y valores donde la segunda derivada no exista recuerda que tanto las raíces y estos valores serán los números críticos vamos a comenzar por las raíces para esto hay que igualar la segunda derivada a cero así es que esta fracción de la segunda derivada la iguala 2 a 0 y resolvemos la ecuación como es una fracción la única manera posible que esto sea igual a 0 es que el numerador valga 0 sé que vamos a decir que 4x
+ 8 es igual a 0 y resolvemos esta ecuación el 8 pasa restando el 4 pasa a dividir 8 / 42 así es que este es nuestro primer número crítico que es la raíz de la segunda derivada ahora vamos a buscar los valores donde la segunda derivada no existe como la segunda derivada es una fracción y no existe la división de entre 0 decimos que es que más uno es igual a cero x menos uno y despejamos x así es que x es igual a 1 es el valor donde la segunda derivada no existe y
también es un número crítico así que tenemos los números críticos 1 y menos 2 ahora podemos estudiar la concavidad de la función para esto vamos a estudiar el signo de la segunda derivada si la segunda derivada es positiva en ese intervalo será cóncava hacia arriba y si es negativa cóncava hacia abajo acá tenemos la recta numérica y vamos a ubicar a carlos números críticos que se encuentren que en este caso son dos el menos 2 y el 1 así la recta queda dividida en tres intervalos el primero desde menos infinitos menos dos esté entre -2
y uno y este que sería uno más infinito ahora vamos a tomar un valor de cada intervalo por ejemplo de este podemos usar el menos 3 entre un valor negativo y un positivo tenemos el cero y aquí podemos usar el 2 vamos a reemplazar estos valores en la segunda derivada y ver qué signo toma el resultado no importa el valor numérico solamente importa el signo así es que comenzamos reemplazando x por menos 3 tenemos entonces más x menos menos 4 x 3 12 por acá tenemos un exponente par así que yo sé qué resultado va
a ser positivo y aquí es negativo así es que menos entre más en menos recuerda que aquí sólo importa el 5 así es que en este intervalo la función de negativa quiere decir que la función que estamos estudiando es con acá baja hacia abajo ahora reemplazamos x por 0 acá 400 queda 8 que es positivo esto da positivo por este ponente par hace que más entre más en más la segunda derivada en este intervalo es positiva quiere decir que la función es cóncava hacia arriba ahora reemplazamos x por 2 en el numerador todo es positivo
y abajo también porque este es para hacer que resultados positivos así es que en este intervalo en la función es positiva quiere decir que la función es cóncava hacia arriba y fíjate que si puede suceder que ambos lados del número crítico la función tenga la misma con calidad esto quiere decir evidentemente que no siempre se van alternando cóncava hacia arriba perdón cóncava hacia abajo cóncava hacia arriba y después viene otra vez cóncava hacia abajo no puede pasar como acaba de suceder en este ejemplo que a cada lado de un número crítico las concavidades sean iguales
no necesariamente se van alternando así es que ya estudiamos la concavidad vamos a conseguir ahora los puntos de inflexión van a sentir punto de inflexión entre otras condiciones siempre y cuando los números críticos pertenezcan al dominio de la función si no pertenecen al dominio no hay puntos de inflexión conseguimos dos números críticos menos 2 y 1 pero uno no pertenece al dominio de la función recuerda que se calcula el dominio comenzando el ejercicio y se determinó que el dominio de los reales excepto al 1 así es que uno no puede ser primera componente de algún
punto de inflexión el menos 2 puede ser pero no basta que pertenezca al dominio en este número crítico es necesario que a la izquierda y a la derecha de este número existan concavidad de diferentes como en este caso a la izquierda tenemos concavidad hacia abajo ya la derecha concavidad hacia arriba entonces menos 2 pertenece al dominio de la función las concavidades son diferentes en cada lado entonces menos 2 es componente de un punto de inflexión falta conseguir la segunda componente y para esto hay que trabajar con la función original así que vamos a reemplazar x
x menos 2 es el negativo exponente para el resultado positivo esto da 4 15 - 2 - 1 - 3 al cuadrado 9 así es que nuestro punto de inflexión es el punto menos 25 novenos ahora vamos a ver la gráfica de la función aquí está y aquí el punto de inflexión que se acaba de encontrar menos 25 novenos no vamos a ayudar en primer lugar con la recta tangente para entender esto de la concavidad aquí está la recta tangente se dice que una función es cóncava hacia abajo si la gráfica de esa función en
determinado intervalo siempre está por debajo de la tangente fíjate que desde menos infinito hasta menos 2 efectivamente la gráfica de la función la de color verde siempre está por debajo de la recta tangente por eso se dice en relación a una recta tangente que la gráfica es cóncava hacia abajo pasamos el punto de infección ahora las gráficas siempre está por arriba de la recta tangente si está por arriba se dice que es cóncava hacia arriba pasamos a esta rama y fíjate que la gráfica de la función también está por arriba así que también es cóncava
hacia arriba en este intervalo en este hasta este punto y luego de este punto hacia la izquierda es cóncava hacia abajo esto en relación de una recta tangente pero nosotros determinamos la concavidad en base al signo de la segunda derivada aquí está la segunda derivada recuerda que buscamos sus raíces aquí está conseguimos uno menos dos y los valores donde la segunda derivada no existe que resultó ser 1 que resulta ser una asiento está vertical recuerda que uno es el valor que hace que la segunda derivada no exista y tampoco pertenece al dominio de la función
así es que este número crítico no puede ser primera componente de un punto de inflexión si no pertenece al dominio de la función menos 2 si pertenece al dominio y así tengo calidades diferentes a la izquierda y a la derecha así que menos 2 resultó ser la primera componente de este punto de inflexión luego mencionamos el signo de la segunda derivada para determinar la concavidad de la función se dijo que si la derivada es negativa la función será cóncava hacia abajo si es positiva cóncava hacia arriba a simple vista desde el menos infinito hasta menos
2 no se puede apreciar de buenas a primeras que efectivamente la gráfica de la segunda derivada la de color rojo esté por debajo del eje x así es que vamos a cambiar la escala y verificar que efectivamente la gráfica está por debajo del eje x esto quiere decir que es negativa aquí se puede ver perfectamente como la segunda derivada de negativa de de menos infinito hasta menos 2 entonces la función es cóncava hacia abajo como acabamos de verificar con la recta tangente luego desde menos 2 hasta 1 la segunda derivada es positiva porque estás sobre
el eje x si es positiva entonces de menos 2 hasta 1 la función es cóncava hacia arriba luego desde -1 hasta el más infinito la derivada la segunda está sobre el eje x quiere decir que es positiva así que las funciones cóncava hacia arriba [Música]