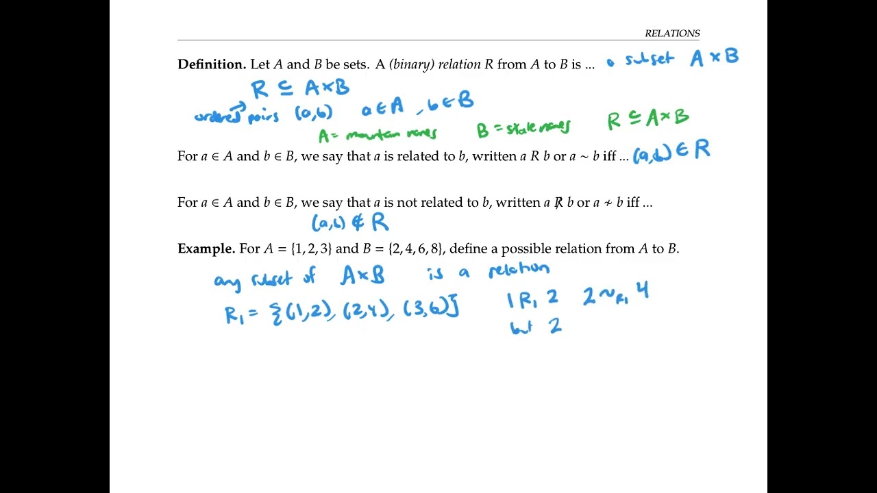
quantos problemas de cinemática a gente vê que envolvem gráficos são muitos não é mesmo hoje a gente vai aprender a lidar com esse tipo de problema olha só os gráficos da cinemática normalmente são gráficos de movimento uniforme aquele movimento de velocidade constante ou gráficos de movimento uniformemente variado aquele movimento que tem aceleração constante não é isso como são esses gráficos pessoal vamos ver de um a um Começando aqui do movimento uniforme movimento uniforme normalmente aparecem dois tipos de gráfico espaço em função do tempo e velocidade em função do tempo como eu faço para saber Como
é o desenho de cada um deles a dica é você não vai decorar o desenho você vai pensar nas equações que você já conhece como assim olha só como é que eu calculo espaço s no movimento uniforme bom você sabe que nesse movimento s é igual a s0 + VT não é isso famoso sorvete se você não lembra vai na nossa aula de movimento uniforme que tá tudo explicado em detalhes para você mas enfim sorvete e aí nós vamos olhar aqui para o tempo o tempo essa letra T está elevado a qual expoente bom você
já sabe lá das aulas de matemática que se não tem expoente nenhum é porque o expoente é um t elevado a 1 ou seja essa é uma função do primeiro grau e se é uma função do primeiro grau o gráfico Com certeza é uma reta crescente ou decrescente legal isso tá bom quando a reta é crescente a reta será crescente se o espaço estiver aumentando de valor ou seja se a velocidade for positiva maior que zero e a reta vai ser decrescente se o valor valor do espaço estiver diminuindo se o objeto estiver andando para
trás se o objeto está andando para trás a velocidade dele é negativa menor do que zero bacana sim outro gráfico do movimento uniforme é o gráfico de velocidade e aí eu vou me lembrar que no movimento uniforme a velocidade é sempre constante não é isso então a velocidade aqui é uma constante se a velocidade é constante o gráfico será uma reta constante nem sobe e nem desce porque ela não muda de valor pessoal E aí tem duas opções se essa reta estiver na parte de cima do gráfico é porque essa velocidade tem valor positivo maior
que zero e se ela estiver na parte de baixo do gráfico ela tem valor negativo menor que zero beleza Tá todo mundo entendendo então esses dois são os gráficos que podem aparecer se o movimento for uniforme vamos agora ao move ao famoso movimento uniformemente variado Aqui nós temos três possibilidades de gráfico espaço velocidade Mas agora nós também temos aceleração vamos lá que uma vez que você entendeu esse o move fica bem fácil Vamos ao espaço lembra da Fórmula no movimento uniformemente variado como é que eu calculo S aí não é o sorvete é o Sorvetão
lembra s é igual a s0 + v0t + a p ao [Música] quadrado sobre 2 Olha só pessoal coloquei o quadrado aqui em laranja até mudei de cor para você ver o quê que se tem um t elevado a 2 essa é uma função do segundo grau boa se é uma função do segundo grau você aprendeu lá nas nossas aulas com o professor Flávio que o gráfico tem o formato de uma parábola então o espaço em função do tempo no move é uma parábola essa parábola pode ser de dois jeitos ela pode ter a boca
virada para cima ou ela pode ter a boca virada para baixo como eu sei qual é qual a boca virada para cima significa que a aceleração é positiva e a boca virada para baixo significa que a aceleração é negativa o pessoal até costuma brincar fazer uma analogia assim positivo é feliz e quando eu tô feliz a boca é virada para cima negativo negativo é triste e quando eu tô triste eu fico com a boca virada para baixo legal só ajuda bastante a gente a lembrar na hora da nossa prova gráfico da velocidade como é que
eu calculo a velocidade no move pessoal velocidade no move é V = [Música] v0 + at não é isso de novo o mesmo truque olha pro T aqui qual é o expoente não tem nenhum se não tem nenhum o expoente é um E se o expoente é um a função é de primeiro grau certo se a função é de primeiro grau o gráfico é uma reta reta crescente ou decrescente Depende se a reta é crescente significa que a velocidade está aumentando de valor se a velocidade tá aumentando de valor significa que a aceleração é positiva
reta decrescente é se a velocidade estiver diminuindo de valor e se ela está diminuindo de valor a aceleração é negativa e pra gente fechar essa nossa aulinha o gráfico da aceleração movimento uniformemente variado é aquele movimento que tem aceleração constante e se a aceleração é é constante de novo tenho aqui uma reta constante ela nem sobe e nem desce o valor não muda nunca se a aceleração for positiva eu vou ter uma reta na parte positiva na parte de cima do meu gráfico então aqui eu tenho uma aceleração positiva e se for na parte de
baixo na parte negativa do gráfico significa que eu tenho uma aceleração negativa Bacana Então são muitos gráficos eu sei com vários casos e Pode parecer muito difícil de a gente lembrar de tudo mas a ideia não é decorar o desenho presta atenção na dica que eu dei Você já foi obrigado a memorizar a fórmula sorvete Sorvetão voat E aí você vê o expoente da letra T se o expoente for um primeiro grau reta se o expoente for dois segundo grau parábola e assim você mata dois coelhos numa cajadada só Beleza então espero que vocês tenham
gostado um grande beijo para todos e até a próxima tchau tchau