os trens meu treino vídeo vamos ver simplificação de frações algébricas através de seis exemplos e dois bônus que é o desafio de a Convido você a deixar seu like se não é inscrito se inscreva aqui no canal vem comigo aqui ó divisão simplificar as frações algébricas curió já sei aqui é produto eu posso simplificar o numerador com denominador exatamente 4 / 2 de noite coloquei aqui um dois e divisão de mesma base que que eu faço Eu repito a base x ind - expoente guarda isso divisão diminuir de divisão de mesma base diminui os expoentes
é que expoente é cinco aqui o expoente é três eu faço 5 - 3 curou a mentira te digo verdade é só isso resposta dois que multiplica x ao quadrado sangrou essa foi fácil quero ver a série de baixo aí como eu vou fazer primeiro você deve ter atenção é só tem produto no numerador e produto no denominador logo você pode simplificar qualquer termo de cima com debaixo crua 20 por 15 não dá mais você pode simplificar ambos por cinco aqui ó 20 / 5 e 15 dividido por cento frente por 100 ou 4:15 por
53 ficou que quatro terços e agora basear basear divisão de mesma base quer que eu repito a base e diminui os expoentes 4 - 3 vai dar um a elevada um coloca aqui sol a cure Uber bem ao cubo / B aqui não tem expoente no meu o que que eu faço você não tem expoente obviamente o expoente é um que ninguém coloca mas é de levado a um Então você vai fazer o quê B ao cubo - 13 - 12 fica bem ao quadrado e aí você encerrou essa simplificação de a fábrica aqui observação
menos dividido por mais ou seja divisão de sinais diferentes da sempre menos então seis e doze Eu sempre fico por seis em cima embaixo fica menos 1 sobre 2 por 62 x uriah Essa eu não sei essa daqui a sua real x elevado a 1 dividido por x Ao Cubo que que tá acontecendo o maior expoente está no denominador está embaixo Então você vai manter a base no maior expoente que a no denominador e vai fazer a subtração da mesma forma Ah entendi o que você falou aqui ó divisão juiz uma base repito a base
Mas você vai repetir e o maior expoente a 3 em 1 aqui é o maior repito essa base eu faço três menos 12 exatamente e aqui ó elevado a y ao quadrado dividido por y ao quadrado aqui foi embora né vai dar um eles são idênticos sempre ficando os 10 elevado a 4 dividido por zero quadrado 4 - 22 meu curió fiquei até mais rápido agora te digo verdade tá aqui ó e não esquece esse bizu é para ter muita atenção Olha que a pegadinha que eu coloquei a elevado ao quadrado elevado ao cubo sem
parentes e aqui ao cubo ao quadrado com 40 escuro essa daqui eu erraria que que eu vou fazer aqui primeiro eu vou arrumar e cessionário como aqui ó 25 que multiplica a elevado ao quadrado elevado ao cubo sem parênteses é potência de potência a que você faz dois ao cubo beleza dois ao cubo oito então 25x a elevada oito vezes B elevado a 6 / olha esse produto aquele elevado ao quadrado Tem parentes você leva cada um dos fatores cada um desses termos aqui Se sim qual quadrado 25 ao cubo elevado ao quadrado com parentes
você multiplica os expoentes a que você vai fazer três vezes 2 A elevado a 6 horas e aqui curió B ao cubo ao quadrado 3 x 2 também bem elevado a 6 horas e agora faz um a mesma coisa que nós fizemos nas outras 25 / 25 de um tá aqui ó um nem precisa colocar mais vou colocar a elevado a 8 / a sexta o expoente maior está em cima é essa base que eu mandei o numerador e faço 8 - 62 e aqui ó elevado a sexta dividir de levar a cesta são iguais
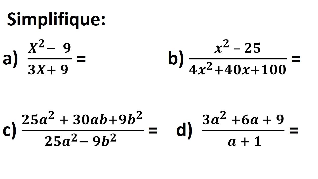
resposta ao quadrado beleza que eu cortei de 1 ao quadrado é a resposta curioso essa daqui até aí foi tudo de boa mas essa daqui para mim a surreal que que você vai fazer Guarda esse produto notável aqui ó ao quadrado menos de ao quadrado é um e da soma pela diferença isso cai demais em prova então aqui ó x menos 3 não há o que fazer agora x ao quadrado menos nove Cabe a você mal da 99 um quadrado perfeito eu posso escrever 3 ao quadrado se fosse 25 Sim qual quadrado e aí vai
aqui você pode escrever como x ao quadrado menos 3 ao quadrado e sim quadro exatamente nessa situação perfeito então x ao quadrado menos 3 ao quadrado é o produto da soma pela diferença pode testar aqui vai fazer a distributiva que vai dar exatamente x ao quadrado menos nomes agora sim por se tratar de produto aqui desses dois fatores eu posso simplificar o x menos 3 com x menos 3 aqui vai dar um e a resposta vai ser um sobre x mais 3 beleza criar entendi tudo nessa de cima agora essa de baixo aqui eu posso
cortar o ar com a não tem e aqui ó se tiver soma também não pode só as colocar em evidência E é isso que eu vou fazer agora sete às vezes 7 mil metros do curió temos em comum coloco ele lá na frente o multiplicando quem sobrou quem sobrou aqui foi o ar quem sobrou aqui foi o menos B curar não tem o nome na dor que que eu faço Qual é o termo incomum aqui embaixo é o três horas então ele vai lá para frente multiplicando e quem sobra sobre o ar e esse sobra
o - beco sobrou tem cima embaixo ou podemos simplificar a mente bebê com a menos B resposta sete textos agora vem duas questões bônus para você dar o print quadra ser conferir as duas bem por aí agora para você as duas questões bônus ver se você conseguiria resolver dar o pause no vídeo tenta fazer essa e essa para ver se dá bom e depois confere vamos lá olhei para cá Fiquei totalmente perdido o que que eu vou fazer tentar colocar alguém evidência por sinal acho que aqui o pagamento vou né só olhei não tem termo
comum em todos mas tem tempo como nos dois aqui que ao 5 né que 35 é cinco e sete aqui é simples x e aqui tem termo comum também que é o y curió eu acho que vai dar bom vamos tentar Aquilo é 5x - 5 x 7 mais a que XY - 7 Vezes Y quem tem como nos dois primeiros é o cinco vou colocar ele em evidência Vou colocar aqui embaixo que multiplica quem ficou x menos 7 tá aqui ó perfeito curioso nesse segundo aí quem tem comum é o y vou colocar ele
em evidência e quem multiplica quem ficou x menos 7 já deu bom aos de vermelho aqui são iguais embaixo x ao quadrado menos 49 falei para você no vídeo que a x ao quadrado é o mesmo que x ao quadrado menos 7 ao quadrado 49 quadrado perfeito vai ficar o que é 17 x x + 7 produto da soma pela diferença curió e agora o que eu sobrei aqui ó a incomum nos dois eu posso colocar em evidência x menos 7 que multiplica quem ficou que é o 5 mais Y perfeito e aqui no denominador
x menos 7 x x + 7 E aí eu simplifico aqui ó tchau tchau resposta Y mais cinco sobre x + 7 aí é só marcar e acertar beleza E para finalizar esse daqui fui lá em cima trinômio quadrado perfeito qual bizur para colocar em potência tá aqui ó tira a raiz quadrada do primeiro da x repete o sinal do do meio que é menos e tira a raiz quadrada do último raiz quadrada de 25 é cinco agora é só elevar ao quadrado por uma mentira te digo verdade esse é o bizu do trinômio quadrado
perfeito sobre x mais cinco curió que não vai dar para simplificar te digo verdade então e dar aqui civil mudando Guarda no coração vou mudar esse sinal aqui embaixo para menos ó para ficar bonitão beleza e aí mudei aqui para mim antes também só para justificar a simplificação tá aqui ó tchau tchau porque a kitchen - em qual quadrado achei menos sempre mexendo mesmo assim cortou resposta assim mesmo sempre Valeu tamo junto com um autor que dar o print o quadro é seu Obrigado friend