E aí [Música] E aí Olá [Música] tudo bem preparado para reagir Bem vindo a nossa zona nerd onde nós vamos falar dos mecanismos das substituições nucleofílicas petróleo apresenta primeiro mecanismo que nós vamos falar é bem simples Na verdade é um mecanismo sn2 a substituição nucleofílica dois eu vou explicar o porquê desses dois aqui olha só ela foi todos exemplos que nós fizemos foi baseado nela essa esse mecanismo essa reação acontece em uma única etapa então é bem simples eu tenho estudo aqui ó eu tenho esse carbono que tirou ó aqui O iodo é mais eletronegativo
aqui é positivo tá então nos seu ataque desse nucleófilo e um mecanismo é desse jeito que eu tenho esse carboninho e ele tá aqui ó Horda ordenar o formato de um teto Ah ele não tá ligado aí esse olho aí tem isso aqui tem esse outro hidrogênio e tem esse de hidrogênio para trás o que que acontece esse grupo nucleofílico ele ataca por trás tá ele vem deixei aqui por trás então eu tenho aqui essa base forte a hidroxila e nós falamos ela chega aqui e começa a fazer uma ligação ela ataca que joga o
elétron nesse carbono que tá parcialmente positivo e a gente tem isso aqui ó a gente tem um composto de transmissão dessa maneira nós temos esse grupo hidroxila que começa a fazer uma ligação com carbono Tá ok e nós temos exatamente tudo aqui ó quando o grupo hidroxila ataca quando o nucleófilo ataca ele começa a fazer ligação com carbono no momento que ele começa a fazer a ligação do carbono é isso da quebra da ligação com o halogênio que nesse caso é o iodo aí uma vez que ele chega então que isso daqui acaba se rompendo
esses elétrons dentro miolo inocentes tudo aqui ó a ligado ao ar o carbono Ok mas a liberação ali do imenso que sai então esse mecanismo é super sossegado é super sossegada porque nós temos o ataque o ataque se dá no momento que está construindo a ligação entre o oxigênio carbono está desfazendo a ligação entre o carbono e o Du e o iodo acaba saindo beleza esse mecanismo sn2 ele vai acontecer com carbonos metílicos né mandando eu só tenho carbono carbonos primários ou carbono secundários sendo que quando essa reação é ficar Bom Retiro ela é muito
mais rápida do que quando eu carbono primário quando eu carbono secundário ela é muito mais rápida muito mais rápida tá ok então essa ele dois vai acontecer dessa maneira com carbonos metílicos primário é quando eu tenho um carvão ligado Se eu tivesse tudo aqui ó e essa reação ia acontecer ainda eu ia conseguir atacar por trás no mecanismo sn2 tá carbono primário ou ainda se eu ia conseguir atacar se fosse um carbono secundário tá ligado a 12 tá vendo eu ainda consigo atacar só que como eu disse na última aula se isso daqui com carbono
terciário esse nucleófilo não consegue atacar por trás e aí ele não consegue mais fazer o sn2 nós vamos fazer um outro mecanismo e aqui eu vou te explicar o porquê do sn2 gasóleo duas C2 quer dizer que o dois quer dizer que a velocidade dessa reação depende da dos dois participantes Ou seja quando mais Olha eu tiver mais rápido vai ser essa reação porque eu vou ter mais Attacks E aí é essa substância Quanto mais a linha que eu tiver mais rápido vai ser minha reação porque eu tenho mais substâncias para sofrer o ataque do
nucleófilo Então se nessa reação eu aumentar a concentração do nucleófilo ou aumentar a concentração do alento a minha velocidade aumenta proporcional aos dois agora depende dos dois a velocidade se eu quiser fazer um ataque agora nesses aqui onde não ocorre o mecanismo sn2 ocorre o mecanismo sn1 por quê que é mecanismo sn1 porque a velocidade dessa reação quando eu tenho esse mecanismo ele depende apenas de um um papo porque o o h não vai conseguir atacar esse carbocátion ou HD não vai conseguir chegar nesse carbono aqui ele não vai conseguir então ele tem que esperar
essa ligação se ontem para ele atacar então não importa se soltar lá 500 quilos de ouro h não vai fazer diferença porque ele não vai conseguir atacar tá tendo impedimento espacial Olha a quantidade de metila que ele não consegue chegar então a reação depende da quantidade dele mas sim da disponibilidade desse a reação só vai acontecer quando a gente conseguir quebrar essa ligação quando a gente conseguir retirar esse odu ou seja d'Oeste nenhum a velocidade da reação só depende desse composto não depende dos dois eu posso ter a quantidade que eu quiser devagar essa reação
não vai acontecer se eu não consegui tirar esse outro daqui é por isso que eu chamo de alguém para eles mais em mim porque a velocidade no final das contas só depende dele depende de eu conseguir quebrar essa ligação aqui não se eu tiver muito desse legal você tem muito Ah tá Se eu tiver muito desse legal também não tem muita gente para sofrer o ataque a velocidade aumenta muito mais eu coloco dos dois melhor né agora aqui como eu não consigo atacar eu fico na dependência desse outro sair porque só acontecesse outro sair eu
consigo atacar aí eu consigo entrar por aqui quando eu uso Sai tá então mecanismo sn2 é bem simples nós temos a entrada no momento que começa a formalização começa que romper essa ligação e aí sai então o grupo retirante o grupo abandonador aqui tranquilo vamos ver então mecanismo sn1 começar vem comigo aqui as obras ao contrário do mecanismo s o que acontece uma única etapa user1 vai acontecer em duas etapas beleza a primeira etapa vai ser o desligamento do cloro tá nozinhos isso daqui não consegue atacar Vamos ver que a gente vai ser dois quando
ele ataca ele causa a ruptura dessa ligação aqui também nós temos que esse ligantes se retira nesse caso ele não consegue atacar com a gente tem que esperar o cloro sair quem vai fazer o posso sair o solvente tá nós vamos usar somente e o solvente vai interagir com cloro o somente em interagir com o moro faz com que o Plano deixa essa cadeia Então a primeira etapa dessa equação é o Chrome deixando a cadeia Olha só nós temos aqui Oi tá aí essa ligação vem para cá o cloro sai sai série menos a forma
do goleiro e nós temos a formação do carbocátion olha formou carbocátion depois que o solvente ajudou a saída do cloro Agora sim eu tenho um carbocátion Agora sim eu tenho espaço para esses nucleófilo atacar E aí nós temos a segunda etapa da nossa reação na segunda etapa Olha só nós temos ali o cargo um cátion né que faz sofreu o ataque da nossa hidroxila no caso de vai entrar aqui beleza nesse caso entrou acabou formou aqui no nosso Alto olha só ch3 ch3 ou H Beleza então nessas duas etapas qualquer etapa lenta hum aí tá
falando é a primeira porque ela é e será que agora essa ligação é o cloro sair dessa cadeira é o mais difícil então essa etapa gasta mais energia essas aqui é tranquilo porque nós já temos o carbocátion nós já tendo nucleófilo e aço e me ligar então acontece em duas etapas e aí ela tem ela é chamada dsn1 porque não importa a quantidade de nucleófilo que eu tenho se a gente não conseguiram com esse código aqui a reação não anda a velocidade dela depende da velocidade de como esse cloro vai sair daqui de dentro beleza
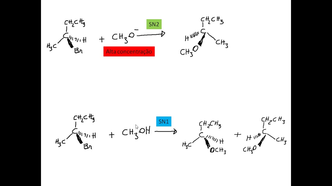
e aqui é o solvente que vai retirar quando retirar carbocátion fica facinho ataque belezinha gás nobre Tranquilo então esses são os mecanismos sn1 e sn2 nós temos ainda um detalhe pequenininho que eu tenho que falar para vocês quando a gente faz esse tipo de substituição vem aqui comigo e aqui gasóleo presta atenção nisso que eu vou te falar dá uma olhada nesse carbono aqui esse carbono tem ligado a ele o imploro 1-etil um hidrogênio eo metil esse Carrão carbono quiral ele tem isomeria óptica lembra disso o carbono quiral tem quatro ligantes diferentes quando a gente
tem isomeria óptica é porque o carbono é capaz de desviar o plano da luz polarizada para a direita ou para esquerda só que gás nobre só que lembra que nós temos que quando eu tenho isomeria óptica eu posso ter um composto l ou composto S então das obras Olha que que acontece quando nós temos o ataque no s2.com que esses nucleófilos vai atacar quando ele vem atacar vida aqui o ataque e a saída é simultânea não é enquanto tá até o ataque a saída Olha o que que acontece vai ter isso daqui então eu vou
ter o carbono Olha o meu tio eu vou ter esse hidrogênio Aqui para baixo e eu vou ter esse metil aqui para o lado tá então escrevi só a cadeia o cloro vai está se desligando ó ele tá desligando e aqui ou Ágata atacando tá chegando tá começando a fazer a ligação beleza não é esse mecanismo sn2 então enquanto ele chega outro sai aí pode finalmente saio quando o cloro finalmente sai Olha o que que acontece o oxigênio é um grupo que substituiu o nucleófilo ele entra eu vou descer H2 ch3 eu tenho hidrogênio e
tem aqui o Serra três olha só o que que aconteceu gás novos nós invertemos o lado que ele dizia a luz agora porque antes de Elite e olhos tinha koru e timetil olhos sentido gira nesse sentido no sentido anti-horário Olha só girado no sentido anti-horário quando chegou aqui um nucleófilo e saiu em um ver teu e ele mandou todos os grupos para cá e agora no sentido que tá girando tá girando agora nesse sentido ó hidroxila etil e metil está girando no sentido horário Olha que loucura então como a gente tem alguém kalista sn2 nós
temos a inversão tá não se ele era L ele passa CS se ele era essa ele passa sede é o quê Porque quando esse joga ele empurra todos os grupos para lá olha os brutos a vir para cá quando ele chegou ele encontrou todo mundo para cá não quer ir para o ou todo mundo para cá o grupo de prioridade primeiro a oxigênio depois o carbono porque tem um oi tio tá ok e depois vocês aqui então antes nós tínhamos nesse sentido cloro etil metil agora nós temos a hidroxila tio meu tio Olha só nós
invertemos tá bom nós invertemos a configuração dessa substância por conta desse mecanismo sn2 beleza E isso também pode acontecer no SN um só conhece gente vai dar um problema um pouco maior vem aqui para você ver ó aqui gás nome tenho aqui ó eu tenho Oi tio eu só abreviei aqui o próprio para não ficar muito grande e o Metin deve ter um prove esse também é um carbono quiral tá é um carbono quiral porque ele tem A grande diferença um pó corretivo um metido e um propil que que vai acontecer para esse Olá gata
tá tem que esperar saída do cloro o cloro vai sair é um sorvete event no próprio quando o cloro sai que que sobra só me explicasse melhor sobre esse composto ch2 ch3 ec3 H7 o grupinho e o etil câncer há três é isso que sobra como é isso que sobra o carbocátion olha que loucura que pode acontecer o-o-h pode atacar tanto por esse lado quanto por esse lado tanto faz só que cê Ward ataca por aqui ele forma um tipo de isomeria porque empurra todo mundo para lá se o h paga por aqui ele forma
o outro tipo de exame ele encontra todo mundo para lá e é isso que vai acontecer quando a gente tem a substituição sn1 nós temos uma mistura as Érica nós temos uma mistura cinquenta por cento e cinquenta por cento e cinquenta por cento desviando a luz para esquecer e cinquenta por cento de diálogos para direito tá porque o carbocátion ele tem essa estrutura fica lembrando um triângulo e esse ele chega pra cá e todo mundo para lá se ele chega para cá para todo mundo para lá então tem a formação dos dois isômeros quando eu
forma dois isômeros com que dizia para a direita um país que a gente chama de mistura a cênica então quando a gente fala dos mecanismos da substituição no teu fita está extremamente ligado com a isomeria óptica tá um carbono quiral que a gente tem que prestar atenção lembrando vocês que isso daqui vocês não precisa se preocupar para Enem para vestibulares tradicionais Tá ok você fizer um pouco mais pesado mas é pra galera que curte que as abelhas está na faculdade está no técnico e tem mecanismo e quer saber da finalidade quer saber desses olhos que
são formados Tranquilo gasóleo então essa foi uma zona nerd super especial por você que de fato a gente ser um Então as reações de substituição e tá o Olá reações de eliminação e de oxidação nas próximas aulas até logo e tchau tchau tchau [Música] [Aplausos]