Scribe
Related Videos
Free Video Transcripts | Scribe
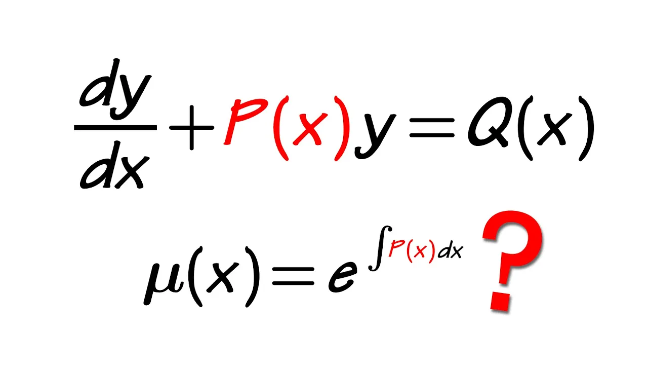
First Order Linear Differential Equation & Integrating Factor (introduction & example)
Checking authentication...